ID : 5425
VS-6556 Robot Positioning Time
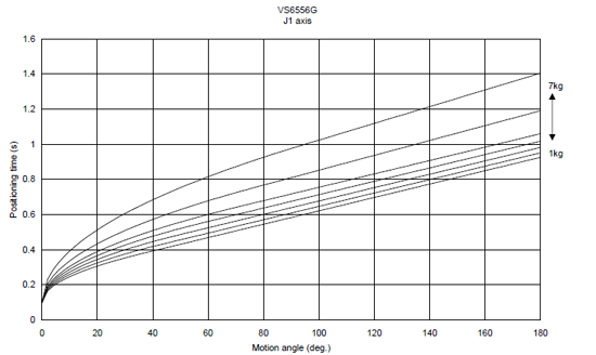
J1 Axis [VS-6556]
![]() |
J2 Axis [VS-6556]
![]() |
J3 Axis [VS-6556]
![]() |
J4, J5 Axis [VS-6556]
![]() |
J6 Axis [VS-6556]
![]() |
CP Operation [VS-6556]
![]() |
ID : 5425
ID : 5425
![]() |
![]() |
![]() |
![]() |
![]() |
![]() |
ID : 5425