Sliding Resistance of Ball Screw
This section describes the calculation method of sliding resistance with ball screw.

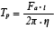
Friction torque by external load

- Tp : Friction torque by external load (Nm)
-
Fa : Shaft direction load (N)
Fa = F + mW
- F : External load (N)
- W : Workpiece weight + Table weight (N)
- m : Friction coefficient of slide surface (0.003 - 0.004)
- l : Lead (m)
-
η : Effectiveness (0.9) ・・・ Ball screw
(1.0) ・・・ LM guide
Friction torque by pre-load

- TD : Friction torque by pre-load (Nm)
- Fao : re-load (5% of Ca) (N)
- l : Lead (N)
- k : Internal friction coefficient of pre-load nut (0.1 - 0.3)
- Ca : Basic load rating (N)
Motor rated torque (TR)
Refer to motor catalog.
Evaluation

- TP : Friction torque by external load (Nm)
- TD : Friction torque by pre-load (Nm)
- TR : Motor rated torque (Nm)
- N1 : The number of gear A teeth
- N2 : The number of gear B teeth
Others
It is recommended to use the grinding ball screw. Rolling ball screw has so large backlash that it may not move properly.

